OTFS与OFDM的异同
波形设计是每一代数字通信系统之间的主要变化信道的带宽与两条路径的相对时延有关,该相对时延被称作为多径的时延扩展。 将以上模型扩展到收发端之间有多条路径的场景,对应的信道带宽可大概表示为信号经过无线信道传播后,一些频率的信号可以通过,一些频率信号被严重衰减,使得整体的信号产生畸变。为克服该问题,2G系统使用窄带信号(信号的带宽为200KHz)。但因窄带信号带宽较小,其所能承载的数据速率有限。为提供高
目录
1. Introduction
1.1 无线通信技术的演变
波形设计是每一代数字通信系统之间的主要变化

1.2 无线通道-时延扩展

信道的带宽与两条路径的相对时延有关,该相对时延被称作为多径的时延扩展。 将以上模型扩展到收发端之间有多条路径的场景,对应的信道带宽可大概表示为

- 当信号带宽大于信道带宽
信号经过无线信道传播后,一些频率的信号可以通过,一些频率信号被严重衰减,使得整体的信号产生畸变。为克服该问题,2G系统使用窄带信号(信号的带宽为200KHz)。但因窄带信号带宽较小,其所能承载的数据速率有限。为提供高传输数据速率,3G和4G蜂窝网络均为宽带通信系统。很明显,宽带通信系统需要克服 “信号带宽大于信道带宽”的情况。CDMA和OFDM均可以克服以上现象,但因CDMA技术当年由高通独立研发,其拥有不少于75%的CDMA核心专利,继续在4G系统中使用3G系统中的CDMA技术将使无线运行商向高通支付高额专利费。而OFDM于1966年被Bell实验室设计,其专利保护早已过期,因而得到无线设备制造和运营商的大力支持。最终在4G网络标准化过程中,3GPP主导的以OFDM为核心的LTE战胜当年由3GPP2(高通)主导的以CDMA为核心的UWB(Ultra Wide Band, 超宽带技术)成为4G宽带通信接入网的核心技术。
1.3 无线信道-多普勒扩展
-
其中多普勒频移fd就是Doppler frequency,证明如下

但是注意:这个与雷达求出的多普勒频率不同,因为雷达是往返过程,需要在最终结果乘上2(单边路径的两倍),图中的只是单程路径,所以不需要二倍。
1.4 典型的时延和多普勒频移

1.5 常规的调制方案-OFDM
OFDM的技术的核心思想是将宽频率载波划分成多个带宽较小的正交子载波,如下图所示,并使用这些正交子载波发送及接收信号。由于每个子载波的带宽小于信道带宽, OFDM可以有效克服频率选择性衰落。 由于同时使用多个载波进行信号传输,OFDM技术属于多载波传输技术的一种。下面我将用数学模型讲解OFDM传输信号的原理。

首先你需要明白OFDM的原理,参考下面这篇文章:
OFDM与FFT的关系 - 飞万里 - 博客园 (cnblogs.com)
https://www.cnblogs.com/mr-xiepeng/p/10276939.html
考虑一个N路子载波 OFDM系统
参数定义如下:
: 表示子载波的数量
: 表示子载波间隔
: OFDM信号的总带宽
: 循环前缀的持续时间
: 采样时间间隔,
: 采样频率
: 有效数据符号时间(OFDM symbol),
OFDM符号长度
如果第一个载波的中心频点是,n个载波的频点是
。
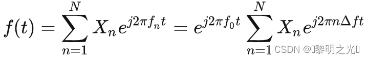
一个基于OFDM的多载波调制的传输信号由下式定义(多载波叠加)

【公式1】
Xn是一个行向量,可表示为 ,每一个列向量
表示第i个载波上的传输符号。
假设子载波的间隔Δf=15kHz,一个OFDM symbol的发送时间是66.7us,可以发现,15kHz*66.67us=1,即基带上一个OFDM symbol的发送时间正好发送一个一次谐波的完整波形。对于10M的LTE系统,采用的是1024个子载波,但是只有中间600个(不含最中间的直流)子载波被用于传送数据。在一个OFDM symbol的时间内(即66.67us),靠近中间的两个一次谐波传输一个完整波形,再靠外一点的两个二次谐波传输两个完整波形,以此类推至最外面的两个300次谐波传输了300个完整的波形。在这66.67us内,600个子载波互相正交,其上分别承载了600个复数信号。
说到这里,从时域上面来看OFDM,其实是相当简洁明快讨人喜欢的。不过,一个系统若要从时域上来实现OFDM,难度太大,时延和频偏都会严重破坏子载波的正交性,从而影响系统性能,同时每个载波都需要有一个晶体振荡器来产生对应的频率。当载波数目足够大时候(如4G LTE有1024个载波),产生基带信号的成本将会很高因此一个OFDM系统的实现,因此需要从频域入手。
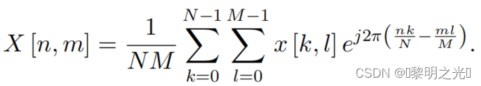
对上述公式进行抽样,可以得到离散化的表示,其中采样间隔为T(T=1/B),第l个采样点的离散表示如下:

【公式2】
其中l的最大值为N,对于给定一个l的值,右式都会唯一确定一个值。因此可以计算出l从1~N时的所有结果,即都唯一确定。
【公式2】中的第l个数据点的值可理解为对【公式1】中的
进行离散傅里叶逆变换IFFT得到。参考离散傅里叶变换公式:

同理,在接收端接收到了这N个离散数据点后,对其进行离散傅里叶变换FFT后即可得到原始数据符号
。但是有没有注意到一个问题:离散傅里叶变换和离散傅里叶逆变换是DFT和IDFT与上述的FFT/IFFT不符。原因:

因为是离散的数据点(时域离散)因此对应离散傅里叶变换DFT,但是由于FFT其实就是DFT的一种简化计算复杂度的快速傅里叶变换,它是根据离散傅氏变换的奇、偶、虚、实等特性,对离散傅立叶变换的算法进行改进获得的。在软件领域可以把复杂度降到又DFT的O(N*N)降到O(nlogn)(如果是二维图像应该是O( M*N*log(M*N) ),因此我们使用FFT和IFFT来代替,降低复杂度,提高运算性能。
因此当OFDM的收发可以表示为下图
在IFFT实现OFDM中,发送端添加了IFFT模块、接收端添加了FFT模块。IFFT模块的功能相当于说:别麻烦发送N个子载波信号了,我直接算出你们在离散状态下在空中会叠加成啥样子吧,这样也便于我使用数字信号进行信号处理;FFT模块的功能相当于说:别用老式的积分方法来去除其余的正交子载波了,我帮你一次把N个携带信号的离散数据点全算出来吧。就是这样,IFFT实现OFDM的系统用"数学的方法",在发送端计算信号的叠加波形,在接收端去除正交子载波,从而大大简化了系统的复杂度。
我的笔记:
更多请参考:
OFDM(正交频分复用)技术 - 知乎 (zhihu.com)
https://zhuanlan.zhihu.com/p/137712898OFDM完整仿真过程及解释(MATLAB) - 知乎 (zhihu.com)
https://zhuanlan.zhihu.com/p/57967971
2. OTFS
2.1 OFDM存在的问题
- 子载波间的干扰(ICI)
- 子信道增益不相等,最低增益决定了性能
- 多个多普勒很难平衡
- 当信道不理想或处于高多普勒环境下,信道矩阵矩阵失去了循环结构,分解变成了错误
2.2 OTFS简介
- 解决OFDM的问题
- 工作在延迟多普勒域,而不是时频域
在线性时变信道中的不同信道表示:
-
线性时变信道(LTV)中的接收信号
时变信道脉冲响应
时延多普勒域信道函数
时频域信道响应
-
h(τ,ν)与H (t,f)之间的关系

图像表示为:
因此,DD域和TF域的关系可以由SFFT和ISFFT相关联,即OTFS和OFDM有着千丝万缕的联系
根据上图,我将在下面介绍一些关于所涉及的三个域的知识:离散时域、时频域和延迟-多普勒域:
我们假设OTFS系统运行在含有p条路径的高迁移率通道上,带宽为B,最大延迟扩展τmax和最大多普勒频移νmax。我们考虑一个离散时间基带等效模型,其中一个连续时间的OTFS信号在采样频率下进行采样,其中
表示采样间隔也即每一个OTFS符号的持续时间。离散时域OTFS帧包含N*M个采样点,M表示子载波数量,N表示每一个块中的OTFS符号数。因此,OTFS帧持续时间为
,其中
表示每个块的持续时间。
每隔秒,我们对每一个块进行M点离散傅里叶变换(DFT)得到的每个块的离散谱,其中频谱间隔为
。沿时间轴采集OTFS帧的带宽
的所有
个谱,定义了离散时频域,如上图(左)所示。离散时频域定义为M×N个点阵列可以表示为
。每一列都包含每个块的离散频谱样本。我们可以方便地将该矩阵看作是一维时域OTFS信号的二维时频表示,二维时频域网格
可以表示为:
离散的时频域样本可以通过二维辛傅里叶变换转换为时延-多普勒域。具体地说,时延多普勒域是通过沿频率轴的傅里叶反变换(对的列进行)和沿时间轴的傅里叶变换(对
的行进行)得到的。离散的时延多普勒域内对应的M×N点阵列为上图右,该二维时延多普勒域网格
可以定义为下式
其中和
为路径时延和多普勒频移的分辨率。特别地,具有相同多普勒频移但传播延迟差异小于
的两个路径不能被接收机区分。同样,传播延迟相同但多普勒频移差异小于
的两条路径也无法区分。同时时延多普勒域的符号可以表示为
典型的OTFS参数如下:

2.3 OTFS调制
图中时频域类似于在数据帧中有N个符号的OFDM系统(脉冲成形的OFDM)
OTFS调制原理:

- OTFS调制
在OTFS发射机端,信息符号首先被映射到DD域。采用正辛有限傅里叶逆变换(ISFFT)将DD域符号x[k,l]转换为TF域符号X[n,m]。

【公式2.3.1】
然后,通过X[n,m]的海森堡变换,可以得到时域信号s (t)。

【公式2.3.2】
gtx (t)表示发射的脉冲波形
Tips:
上述ISFFT可以看作是沿每个多普勒轴的n点fft和沿每个时延轴的m点ifft
- 信道

【公式2.3.3】
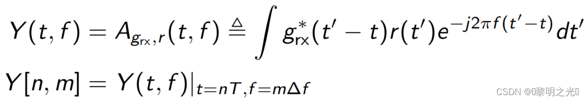
- OTFS解调(匹配滤波)- 维格纳变换
OTFS接收端,首先利用Wigner变换将接收到的时域信号r (t)转换为TF域符号Y [n,m],该过程也称作匹配滤波(Match filter)

【公式2.3.4】

【公式2.3.5/2.3.6】
grx (t)表示接收的脉冲波形,如果gtx (t)和grx (t)为矩形脉冲,则【2.3.2】和【2.3.4】分别简化为M点IFFT和FFT的集合,更进一步地,对于N = 1时,上述两个公式分别相当于OFDM调制和解调。
如果发射和接收脉冲gtx (t)和grx (t)是满足双正交性质(时域和频域没有重叠)的理想脉冲可以消除符号干扰,在双正交的情况下,时频域的输入输出的关系可以表示为:

H[n,m]可以离散化表示为

然后利用辛有限傅里叶变换(SFFT)对DD域进行符号解调。
- 辛有限傅里叶变换

【公式2.3.7】
上述ISFFT可以看作是沿每个多普勒轴的m点ifft和沿每个时延轴的n点fft
在DD域上,公式【2.3.7】可以进一步被表示为:

其中,输入输出以及信道的二维图像如下

3. 兼容OFDM的OTFS架构

- 当输入输出波形gtx和grx为矩形脉冲,且N=1时,海森堡变换和维格纳变换等价于OFDM的调制(IFFT)与解调(FFT)
- OTFS兼容LTE系统
- 通过对N个连续的OFDM符号应用预编码和解码块,可以很容易地实现OTFS
但是当输入输出波形gtx和grx为矩形脉冲时,时频域上不再是双正交情况,也就意味着时域和频域上均会存在干扰
时域:ISI-由于延迟而导致的时域正交性的损失
频域:ICI-由于多普勒而导致的频域正交性的丧失
因此,在OFDM的情况下,输入输出关系可以修改为:
![]()
附录:自己的推公式的笔记


更多推荐


所有评论(0)