Matlab使用杂谈3-Fourier函数实现傅里叶变换
Matlab使用杂谈3-Fourier函数实现傅里叶变换傅里叶变换Matlab中的Fourier函数Fourier使用实例普通用法参数变换向量输入傅里叶变换无结果傅里叶逆变换傅里叶变换傅里叶展开式(Fourier expansion)是指用三角级数表示的形式,即一个函数的傅里叶级数在它收敛于此函数本身时的一种称呼。傅立叶变换,表示能将满足一定条件的某个函数表示成三角函数(正弦和/或余弦函数)或..
Matlab使用杂谈3-Fourier函数实现傅里叶变换
傅里叶变换
傅里叶展开式(Fourier expansion)是指用三角级数表示的形式,即一个函数的傅里叶级数在它收敛于此函数本身时的一种称呼。傅立叶变换,表示能将满足一定条件的某个函数表示成三角函数(正弦和/或余弦函数)或者它们的积分的线性组合
来源百度百科

Matlab中的Fourier函数
Matlab中关于Fourier使用的讲解
语法:
fourier(f)
fourier(f,transVar)
fourier(f,var,transVar)
f-输入,可以是表达式、函数、向量或矩阵等
var-变量,一般为时间变量或空间变量,如果不设置该变量,一般使用函数中的符号变量作为默认值
transVar-转换变量,可以是符号变量,表达式,向量或矩阵,该变量通常称为“频率变量”,默认情况下,傅立叶使用w,如果w是f的自变量,则傅立叶使用v。
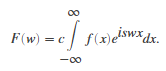
The Fourier transform of the expression f = f(x) with respect to the variable x at the point w is

c and s are parameters of the Fourier transform. The fourier function uses c = 1, s = –1.
Fourier使用实例
普通用法
clear;clc
%% Fourier函数的使用
%-----------基本使用------------%
% 一般默认w为变换变量,x为待变换变量
syms t x
f=exp(-t^2-x^2);
f1=fourier(f)
% 指定转换变量
syms y
f2=fourier(f,y)
% 指定待变换变量和变换变量
f3=fourier(f,t,y)
运行输出结果为:
参数变换
The Fourier transform of the expression f = f(x) with respect to the variable x at the point w is

c and s are parameters of the Fourier transform. The fourier function uses c = 1, s = –1.
%------傅里叶变换参数的变换------%
% 傅里叶中c默认为1,s默认为-1
% 使用sympref改变其参数
sympref('FourierParameters',[2 1]);
fourier(f)
% 在使用完后记得恢复默认,否则影响下次使用
sympref('FourierParameters','default');
运行结果为:
向量输入
%------------向量输入------------%
syms a b c d w x y z
M=[exp(x) 1;sin(y) i*z];
vars=[w x;y z];
transVars=[a b; c d];
fourier(M,vars,transVars);
运行结果为:
傅里叶变换无结果
%---------傅里叶变换不存在--------%
syms f(t) w
fourier(f,t,w)
运行结果为:
傅里叶逆变换
利用ifourier进行变换,语法基本与fourier一致
ifourier(F,w,t)
ans = f(t)
更多推荐


所有评论(0)