图像识别-YOLO系列
经典的one-stage方法You Only Look Once,名字就已经说明了一切!把检测问题转化成回归问题,一个CNN就搞定了!可以对视频进行实时检测,应用领域非常广!(其中Reshape中30是5+5+20)10 =(X,Y,H,W,C)*B(2个)(其中C是置信度)当前数据集中有20个类别7*7表示最终网格的大小。
·
YOLO-V1
经典的one-stage方法
You Only Look Once,名字就已经说明了一切!
把检测问题转化成回归问题,一个CNN就搞定了!
可以对视频进行实时检测,应用领域非常广!
(YOLOv1的主要优点是速度快、结构简单,但也存在一些缺点,如对小物体检测效果不佳和长宽比单一等。)

核心思想

将输入图像分成S×S的格子,每个格子预测多个边界框及其置信度和类别概率。YOLOv1的输出是一个7×7×30的张量。
网络架构

(其中Reshape中30是5+5+20)(7*7是从第一个数不管是横着还是竖着都是7)
每个数字的含义
10 =(X,Y,H,W,C)*B(2个) (其中C是置信度)
当前数据集中有20个类别
7*7表示最终网格的大小
(S*S)*(B*5+C)

损失函数

NMS(非极大值抑制):

在这个链接中最后一个有讲
其中,在计算机视觉领域,IOU(Intersection over Union)是衡量两个边界框(bounding box)重叠程度的指标,常用于目标检测任务中评估预测边界框与真实边界框的匹配程度。
YOLO-V1
优点 :快速,简单!
问题1 :每个Cell只预测一个类别,如果重叠无法解决
问题2 :小物体检测效果一般,长宽比可选的但单一
YOLO-V2:更快!更强!
YOLO-V2-Batch Normalization
V2版本舍弃Dropout,卷积后全部加入Batch Normalization
网络的每一层的输入都做了归一化,收敛相对更容易
经过Batch Normalization处理后的网络会提升2%的mAP
从现在的角度来看,Batch Normalization已经成网络必备处理
YOLO-V2-更大的分辨率
V1训练时用的是224*224,测试时使用448*448
可能导致 模型水土不服 ,V2训练时额外又进行了10次448*448的微调
(在我们的模型上的这个水土不服来讲的话,就是训练和测试我用的这个规格不一样,会导致它的这个准确率有一点下降。)(参考了Dark Net的设计,调整了输入图像的尺寸,并进一步优化了网络的性能。)
使用高分辨率分类器后,YOLOv2的mAP提升了约4%


YOLO-V2-网络结构
DarkNet,实际输入为416*416
没有FC层,5次降采样(13*13) (下采样会使图像尺寸变小,常用的下采样层包括最大池化层和平均池化层)
1*1卷积节省了很多参数
YOLO-V2-聚类提取先验框
faster-rcnn系列选择的先验比例都是常规的,但是不一定完全适合数据集
K-means聚类中的距离:



YOLO-V2-Anchor Box
通过引入anchor boxes,使得预测的box数量更多(13*13*n)
跟faster-rcnn系列不同的是先验框并不是直接按照长宽固定比给定

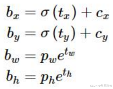
YOLO-V2-Directed Location Prediction
bbox:中心为(xp,yp);宽和高为(wp,hp),则:

tx=1,则将bbox在x轴向右移动wp;tx=−1则将其向左移动wp
这样会导致收敛问题,模型不稳定,尤其是刚开始进行训练的时候
V2中并没有直接使用偏移量,而是选择相对grid cell的偏移量
计算公式为:
例如预测值(σtx,σty,tw,th)=(0.2,0.1,0.2,0.32),anchor框为

在特征图位置:

在原位置:

感受野
①
感受野:概述来说就是特征图上的点能看到原始图像多大区域。


②
如果堆叠3个3*3的卷积层,并且保持滑动窗口步长为1,其感受野就是7*7的了,这跟一个使用7*7卷积核的结果是一样的,那为什么非要堆叠3个小卷积呢?
假设输入大小都是h*w*c,并且都使用c个卷积核(得到c个特征图),可以来计算一下其各自所需参数:
很明显,堆叠小的卷积核所需的参数更少一些,并且卷积过程越多,特征提取也会越细 致,加入的非线性变换也随着增多,还不会增大权重参数个数,这就是VGG网络的基本出发 点,用小的卷积核来完成体特征提取操作。
YOLO-V2-Fine-Grained Features
最后一层时感受野太大了,小目标可能丢失了,需融合之前的特征。
YOLO-V2-Multi-Scale
都是卷积操作可没人能限制我了!一定iterations之后改变输入图片大小。
最小的图像尺寸为320 x 320。
最大的图像尺寸为608 x 608。
更多推荐


所有评论(0)